BSP-Tree の生成方法

BSP-tree の生成方法について詳しく見てみよう. 配布資料 pp.70-73 も参考にしよう.


例として,Fig.1 の図形を対象としよう.

前面図 背面図

Fig.1. 図形の例

まず,親になるポリゴンを決めよう. これはどれでも良いのだが,ここではポリゴン 0 を選ぶことにしよう. そして,この親に対して前方(表側)に位置するポリゴン群を 左の枝に, 後方(裏側)に位置するポリゴン群を 右の枝に割り当てる. このとき,親ポリゴンの延長平面に交差するようなポリゴンは, 例えば,{10,11,12} や {13,14,15} のように, 前方部分と後方部分とに再分割しておく必要がある.

現実的には,できるだけ再分割しなくても済むように, 親の選び方を工夫すべきだ. 例えば,ポリゴン 0 ではなく, 外側のポリゴン 2,8,5,等を先に親にして行けば, ポリゴン 3-4 や 6-7 を再分割せず一体のまま処理を進めることができる.

また,物体の内部にダミーのポリゴンを追加し,それを親に選べば, 分割を回避できる場合もある.

この段階では,BSP-tree は Fig.2 のような状態になっている.

Fig.2. BSP-tree 生成の第 1 段階

なお, 四角形ポリゴンを 2 個の三角形ポリゴンに分割した場合など, 同一平面内の面同士については,どちらが前方でも後方でも,どちらでもよい.

次に,各ポリゴン群において親を決め, 同様の処理を施そう. 例えば,ポリゴン 1 および 4 を親に選べば, BSP-tree は Fig.3 となる.

特に再分割などの不都合がなければ, 番号のもっとも若いものを選ぶのが自然な方法だと思われる.

Fig.3. BSP-tree 生成の第 2 段階

さらに,各ポリゴン群に対して同じ処理を繰り返そう. Fig.4 となる.

Fig.4. BSP-tree 生成の第 3 段階

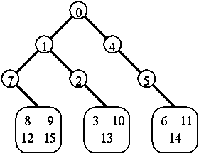
最終的に,Fig.5 のような木が生成される.

Fig.5. 完成した BSP-tree

なお,親の選び方によって異なる木が生成されることになるが, レンダリング結果は必ず同じ画像になるので心配しなくてよい.

だが,データ入力の作業の手間を考えると, できるだけ単純な形状の木を作っておきたい. ポリゴンへの番号付けと親の選択の作業については, 場当たり的ではなく, 規則的に進めるとよい.

(c) 2015, KY